Bettersize Instruments’ BeNano Series represents the current generation of nanoparticle size and zeta potential analyzers.
The system integrates a powerful blend of electrophoretic light scattering (ELS), static light scattering (SLS), and dynamic light scattering (DLS) technologies to provide accurate measurements of zeta potential, molecular weight, and particle size.
The BeNano Series is used in several academic and manufacturing processes across various fields. These include, but are not limited to, food and beverages, chemical engineering, pharmaceuticals, inks and pigments, and life sciences.
Features and Benefits
The BeNano 180 Zeta Pro offers a range of benefits to users, regardless of the application in question. These include:
- A wide size range of 0.3 nm to 15 μm
- A low minimum sample volume of 3 μl
- An APD (avalanche photodiode) detector ensures excellent sensitivity.
- Automated laser intensity adjustment
- Results evaluated via intelligent algorithm
- Advanced DLS backscattering (173 °) detection technology
- Easily accommodate concentrated samples with user-adjustable scattering volume
- Powerful PALS (Phase Analysis Light Scattering) technology
- A robust and fully programmable temperature control system
- Full compliance with 21 CFR Part 11, ISO 13099, and ISO 22412
BeNano Series: Unveiling the Secrets of Nanoparticle Analysis
BeNano Series: Unveiling the Secrets of Nanoparticle Analysis. Video Credit: Bettersize Instruments
Unlocking Research Potential with BeNano
The BeNano 180 Zeta Pro also benefits from an array of powerful features.
Advanced ELS Technology: PALS
PALS technology can distinguish and extract electrophoretic behavior, even when samples exhibit weak electrophoretic mobilities, such as in a high salinity environment or with a charge close to the isoelectric point.
Advanced DLS Technology: Backscattering Detection
Backscattering DLS optics allow users to work with a much larger scattering volume than 90 ° optics. When combined with a movable measurement position, backscattering DLS also offers greater sensitivity and capacity for measuring turbidity samples.
Temperature Trend Measurement
When working with thermally sensitive samples, a temperature trend can be easily performed using a programmed SOP. The BeNano can detect the temperature transition point of the size results, which is also the temperature of the protein samples’ aggregation.
Stable and Durable Optical Bench
The BeNano leverages a powerful 50 mw solid-state laser, a high-performance APD detector, and a single-mode fiber system to offer wide-ranging, stable, and highly redundant detection capabilities.
Research Level Software
The BeNano software intelligently evaluates and processes scattered light signals to enhance signal quality and improve result stability. A range of built-in calculation modes is available, and the instrument supports multiple scientific research and application fields.
Ultra-Low Sample Volume Requirements
Early-stage R&D in the pharmaceutical industry and academia typically requires users to measure trace amounts of samples. The instrument’s capillary sizing cell requires only 3 μl to 5 μl of sample for precise size measurement.
Source: Bettersize Instruments
| Model |
Technology |
Key Function |
| |
90° DLS & SLS |
173° DLS & SLS |
12° ELS & PALS |
Particle size |
Zeta potential |
Molecular weight |
Rheological properties |
| BeNano 180 Zeta Pro |
√ |
√ |
√ |
√ |
√ |
√ |
√ |
| BeNano 180 Zeta |
|
√ |
√ |
√ |
√ |
√ |
√ |
| BeNano 90 Zeta |
√ |
|
√ |
√ |
√ |
√ |
√ |
| BeNano Zeta |
|
|
√ |
√ |
|
|
|
| BeNano 180 Pro |
√ |
√ |
|
√ |
|
√ |
√ |
| BeNano 180 |
|
√ |
|
√ |
|
√ |
√ |
| BeNano 90 |
√ |
|
|
√ |
|
√ |
√ |
Particle Size Measurement by Dynamic Light Scattering (DLS)
Dynamic light scattering (DLS) is also known as photon correlation spectroscopy (PCS) or quasi-elastic light scattering (QELS). This powerful analytical technique is typically used to measure Brownian motion in a dispersant.
DLS is based on the underlying principle that smaller particles move more rapidly while larger particles move more slowly. An avalanche photodiode (APD) detects the particles' scattering intensities, which are converted into a correlation function using a correlator.
With this correlation function in place, a mathematical algorithm can be applied to determine the diffusion coefficient (D). The Stokes-Einstein equation, which relates the particle size to its diffusion coefficient, can also be used to calculate the hydrodynamic diameter (DH) and its distribution.


Image Credit: Bettersize Instruments

Image Credit: Bettersize Instruments
DLS Backscattering Detection Technology
Backscattering detection technology offers an array of benefits.
Wider Concentration Range
Optimizing the detection position allows even highly concentrated samples to be detected close to the edge of the sample cell, minimizing the effect of multiple light scattering.
Higher Sensitivity
DLS backscattering detection technology offers from 8 to 10 times the scattering volume and approximately 10 times the sensitivity versus a traditional 90 ° optical design.
Higher Size Upper Limit
This technology also mitigates multiple light scattering from large particles and somewhat reduces the number of fluctuations in large particles. This is due to the much larger scattering volume in use.
Improved Reproducibility
Dust contaminants and unevenly distributed agglomerates have less influence on DLS backscattering technology, meaning this method provides better reproducibility.
Intelligently Search for the Ideal Detection Position
The instrument’s software can automatically determine the optimal detection position based on the sample's size, concentration, and scattering ability.
These capabilities ensure the highest measurement accuracy and offer users great flexibility when detecting varying types and concentrations of sample. This feature is especially beneficial when investigating a variety of samples, where each possesses its own unique scattering properties and concentrations.

Image Credit: Bettersize Instruments
(1) Placing the detection point in the middle of the sample cell leads to a sizeable scattering volume. This, in turn, increases instrument sensitivity and is an ideal option when detecting dilute samples with weaker scattering effects.

Image Credit: Bettersize Instruments
(2) Placing the detection point at the edge of the sample cell helps avoid the multiple scattering effects of high-concentration samples, meaning that acquiring more accurate and repeatable particle size results is possible.
DLS Flow Mode
DLS flow mode can be used to provide the high-resolution size result of a highly complex polydisperse system.
Combining this powerful measurement technique with front-end separation equipment like GPC/SEC or FFF allows particles to be separated into monodisperse fractions, which flow through the BeNano in sequence according to their size.
Continually measuring the size of each fraction allows these measurements to be summed into a high-resolution size distribution.
The BeNano can also capture RI or UV signals, allowing users to acquire more accurate volume and number distributions. These values are also more independent of algorithmic results versus batch-mode measurements.

Integrated use of BeNano and SEC for particle characterization. Image Credit: Bettersize Instruments
DLS flow mode can:
- Characterize particulates and polymers according to their size and dispersity
- Distinguish proteins’ monomers, dimers and aggregates

Effluent curves of size, intensity, and refractive index (RI). Image Credit: Bettersize Instruments

Black Curve: BSA size distribution with batch mode
Red Histograms: BSA size distribution with flow mode
Flow mode provides more precise information for characterizing BSA molecules on size and dispersity than batch mode. Image Credit: Bettersize Instruments
High-Resolution Size Measurement
High-resolution size measurement offers an array of benefits, including:
- The DLS analyzer can be connected with GPC/SEC, FFF, etc.
- It can receive up to three signals from UV, RI, or other detectors.
- A 27 μl low-volume flow cell avoids band broadening.
- A size resolution as high as 1.3: 1 can be achieved.
- Size distributions can be weighted by number and volume as well as intensity.
- This approach is ideal for complex polydisperse systems such as polymers and proteins.

High-resolution size distribution achieved through flow mode. Image Credit: Bettersize Instruments

Particles remain in flow during measurement. Image Credit: Bettersize Instruments

Following size separation, particles are detected. Image Credit: Bettersize Instruments
Measuring Zeta Potential Measured with Light Scattering (ELS)
The charged particles present in aqueous systems are surrounded by counterions that form both an inner Stern layer and an outer shear layer. The electrical potential at the interface of the shear layer is known as its zeta potential. A higher zeta potential implies improved stability with less aggregation of the suspension system.
It is possible to use electrophoretic light scattering (ELS) to measure electrophoretic mobility via Doppler shifts of scattered light and then determine the zeta potential of a sample by employing Henry's equation.


Image Credit: Bettersize Instruments
Phase Analysis Light Scattering (PALS)
Phase analysis light scattering (PALS) is an innovative technology based on conventional ELS technology. Bettersize Instruments has further developed this technology to measure zeta potential and its distribution of a sample.
Features and benefits of this technology include:
- The ability to accurately measure samples with limited electrophoretic mobility
- Works with samples in organic solvents that exhibit a low dielectric constant
- Able to achieve more accurate results for samples with high conductivity
- The ability to effectively measure the zeta potential of particles with charges approaching the isoelectric point

Image Credit: Bettersize Instruments
Static Light Scattering (SLS)
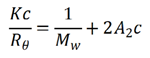
Static light scattering (SLS) can be used to measure a sample’s scattering intensities, weight-average molecular weight (Mw), and second virial coefficient (A2) via the Rayleigh equation:

In this equation, c is the sample concentration, θ is the detection angle, and Rθ is the Rayleigh ratio used to characterize the intensity ratio between the scattered light and the incident light at angle θ. It should also be noted that Mw is the sample’s weight-average molecular weight, A2 is the second virial coefficient, and K is a constant related to (dn/dc)2.
During molecular weight measurements, the scattering intensities of the sample at various concentrations are detected. Using the scattering intensity and Rayleigh ratio of a known standard (for example, toluene), it is possible to compute the Rayleigh ratios of samples at different concentrations and plot these into a Debye plot.
The molecular weight and the second virial coefficient can be obtained by evaluating the intercept and slope from the linear regression of the Debye plot.

Image Credit: Bettersize Instruments
Microrheology Measured by DLS
Dynamic Light Scattering Microrheology (DLS Microrheology) is an efficient and cost-effective technique that leverages dynamic light scattering measurements to determine rheological properties.
By analyzing the Brownian motion of colloidal tracer particles, it is possible to obtain information about the viscoelastic properties of the system with the generalized Stokes-Einstein equation, for example, viscoelastic modulus, complex viscosity, and creep compliance.

Features and benefits of DLS microrheology include:
- The ability to investigate rheological behavior by measuring the thermally-driven motion of tracer particles within a studied material
- Measurement capabilities across a wide range of frequencies
- The application of only minimal stress to tracer particles
- The capacity to work with only a microliter-scale sample volume
- A robust method that complements mechanical rheology results
- High suitability for weakly structured samples
Temperature Trend Measurement
The BeNano is able to work with several measurement parameters, including size versus temperature and zeta potential versus temperature. It offers several other advantages in this area, such as:
- The ability to accelerate real-time aging via elevated temperature simulations
- Simple investigations into protein formulation stability

Image Credit: Bettersize Instruments
pH Trend Measurement
The BeNano can also work with several pH measurement parameters, including zeta potential versus pH, isoelectric point, and conductivity versus pH. Features and benefits of this area of study include:
- High-precision ternary titration pumps
- A controllable peristaltic pump that offers high flow capacity and high flow rate
- A powerful general-purpose electrode
- Intelligent software able to automatically select a titrant based on initial and target pH
- The ability to perform measurements within a shorter time
- Improved repeatability and consistency of results
- Reduced researcher workload
- Easy operation
- The ability to accelerate real-time aging via elevated temperature simulation
- Limited exposure to corrosive liquids

Image Credit: Bettersize Instruments
Specification
Source: Bettersize Instruments Ltd.
| Functions |
Parameter |
BeNano 180 Zeta Pro |
BeNano 180 Zeta |
BeNano 90 Zeta |
BeNano Zeta |
BeNano 180 Pro |
BeNano 180 |
BeNano 90 |
|
Size
measurement
|
Size
measurement range |
0.3 nm - 15 μm* |
0.3 nm - 10 μm* |
0.3 nm - 15 μm* |
N/A |
0.3 nm - 15 μm* |
0.3 nm -10 μm* |
0.3 nm - 15 μm* |
| Sample volume |
3 μL - 1 mL* |
40 μL - 1 mL* |
3 μL - 1 mL* |
N/A |
3 μL - 1 mL* |
40 μL - 1 mL* |
3 μL - 1 mL* |
| Detection angle |
90° & 173° & 12° |
173° & 12° |
90° & 12° |
N/A |
90° & 173° |
173° |
90° |
| Analysis algorithm |
Cumulants, General Mode, CONTIN,
NNLS |
Cumulants, General Mode, CONTIN,
NNLS |
Cumulants, General Mode, CONTIN,
NNLS |
N/A |
Cumulants, General Mode, CONTIN,
NNLS |
Cumulants, General Mode, CONTIN,
NNLS |
Cumulants, General Mode, CONTIN,
NNLS |
Upper limit of
concentration range |
40% w/v* |
40% w/v* |
Optically clear+ |
N/A |
40% w/v* |
40% w/v* |
Optically clear† |
| Detection position |
Movable position
0.4 - 5 mm |
Movable position
0.4 - 5 mm |
Fixed position
5 mm |
N/A |
Movable position
0.4 - 5 mm |
Movable position
0.4 - 5 mm |
Fixed position
5 mm |
|
Zeta potential
measurement
|
Detection angle |
12° |
12° |
12° |
12° |
N/A |
N/A |
N/A |
Zeta potential
measurement range |
No actual limitation |
No actual limitation |
No actual limitation |
No actual limitation |
N/A |
N/A |
N/A |
| Electrophoretic mobility |
> ± 20 μm·cm/V·s |
> ± 20 μm·cm/V·s |
> ± 20 μm·cm/V·s |
> ± 20 μm·cm/V·s |
N/A |
N/A |
N/A |
| Conductivity |
0 - 260 mS/cm |
0 - 260 mS/cm |
0 - 260 mS/cm |
0 - 260 mS/cm |
N/A |
N/A |
N/A |
| Sample volume |
0.75 - 1 mL |
0.75 - 1 mL |
0.75 - 1 mL |
0.75 - 1 mL |
N/A |
N/A |
N/A |
| Sample size |
2 nm - 110 μm |
2 nm - 110 μm |
2 nm - 110 μm |
2 nm - 110 μm |
N/A |
N/A |
N/A |
|
Other
measurements
|
Molecular weight
(Mw) |
342 Da - 2 x 107 Da* |
342 Da - 2 x 107 Da* |
342 Da - 2 x 107 Da* |
N/A |
342 Da - 2 x 107 Da* |
342 Da - 2 x 107 Da* |
342 Da - 2 x 107 Da* |
| Viscosity |
0.01 cp - 100 cp* |
0.01 cp - 100 cp* |
0.01 cp - 100 cp* |
N/A |
0.01 cp - 100 cp* |
0.01 cp - 100 cp* |
0.01 cp - 100 cp* |
Interaction parameter
KD |
No actual limitation |
No actual limitation |
No actual limitation |
N/A |
No actual limitation |
No actual limitation |
No actual limitation |
| Trend measurement |
Time and temperature |
Time and temperature |
Time and temperature |
Time and temperature |
Time and temperature |
Time and temperature |
Time and temperature |
|
System
parameters
|
Temperature
control range |
-15℃ - 110℃,
±0.1℃ |
-15℃ - 110℃,
±0.1℃ |
-15℃ - 110℃,
±0.1℃ |
-15℃ - 110℃,
±0.1℃ |
-15℃ - 110℃,
±0.1℃ |
-15℃ - 110℃,
±0.1℃ |
-15℃ - 110℃,
±0.1℃ |
| Condensation control |
Dry air or nitrogen |
Dry air or nitrogen |
Dry air or nitrogen |
Dry air or nitrogen |
Dry air or nitrogen |
Dry air or nitrogen |
Dry air or nitrogen |
| Laser source |
50 mW Solid-state laser, 671 nm#, Class 1 |
50 mW Solid-state laser, 671 nm#, Class 1 |
50 mW Solid-state laser, 671 nm#, Class 1 |
50 mW Solid-state laser, 671 nm#, Class 1 |
50 mW Solid-state laser, 671 nm#, Class 1 |
50 mW Solid-state laser, 671 nm#, Class 1 |
50 mW Solid-state laser, 671 nm#, Class 1 |
| Correlator |
Up to 4000 channels,
1011 linear
dynamic range |
Up to 4000 channels,
1011 linear
dynamic range |
Up to 4000 channels,
1011 linear
dynamic range |
Up to 4000 channels,
1011 linear
dynamic range |
Up to 4000 channels,
1011 linear
dynamic range |
Up to 4000 channels,
1011 linear
dynamic range |
Up to 4000 channels,
1011 linear
dynamic range |
| Detector |
Avalanche photodiode
(APD) |
Avalanche photodiode
(APD) |
Avalanche photodiode
(APD) |
Avalanche photodiode
(APD) |
Avalanche photodiode
(APD) |
Avalanche photodiode
(APD) |
Avalanche photodiode
(APD) |
| Intensity control |
0.0001% - 100%,
manual or automatic |
0.0001% - 100%,
manual or automatic |
0.0001% - 100%,
manual or automatic |
0.0001% - 100%,
manual or automatic |
0.0001% - 100%,
manual or automatic |
0.0001% - 100%,
manual or automatic |
0.0001% - 100%,
manual or automatic |
Dimensions
(L x W x H) |
62.5 x 40 x 24.5 cm
(22 kg) |
62.5 x 40 x 24.5 cm
(22 kg) |
62.5 x 40 x 24.5 cm
(22 kg) |
62.5 x 40 x 24.5 cm
(22 kg) |
62.5 x 40 x 24.5 cm
(22 kg) |
62.5 x 40 x 24.5 cm
(22 kg) |
62.5 x 40 x 24.5 cm
(22 kg) |
| Power supply |
AC 100-240 V,
50-60 Hz, 4A |
AC 100-240 V,
50-60 Hz, 4A |
AC 100-240 V,
50-60 Hz, 4A |
AC 100-240 V,
50-60 Hz, 4A |
AC 100-240 V,
50-60 Hz, 4A |
AC 100-240 V,
50-60 Hz, 4A |
AC 100-240 V,
50-60 Hz, 4A |
Conformity
to standards |
21 CFR Part 11, ISO 13321, ISO 22412, ISO 13099 |
21 CFR Part 11, ISO 13321, ISO 22412, ISO 13099 |
21 CFR Part 11, ISO 13321, ISO 22412, ISO 13099 |
21 CFR Part 11, ISO 13099 |
21 CFR Part 11, ISO 13321, ISO 22412 |
21 CFR Part 11, ISO 13321, ISO 22412 |
21 CFR Part 11, ISO 13321, ISO 22412 |
* Dependent on samples and accessories
† Up to 40% w/v using capillary sizing cell
# 10 mW 633 nm He-Ne laser available on request |